Расчет параметров воздушной среды вентилируемых помещений
Для того чтобы дать оценку тепловому режиму, формирующемуся в помещении, необходимо знать температуры и скорости воздуха в отдельных точках этого помещения. Задача расчета параметров воздушной среды может быть сформулирована как расчет температурных и скоростных полей в помещении с учетом перечисленных выше факторов.
Расчет параметров воздушной среды вентилируемых помещений
Для того чтобы дать оценку тепловому режиму, формирующемуся в помещении, необходимо знать температуры и скорости воздуха в отдельных точках этого помещения. Задача расчета параметров воздушной среды может быть сформулирована как расчет температурных и скоростных полей в помещении с учетом перечисленных выше факторов.
При решении этой задачи следует иметь в виду, что факторами, формирующими тепловой режим, являются приточные и конвективные струи, эжектируемый этими струями обратный поток воздуха, а также параметры, влияющие на развитие струйных потоков: стесненность, вызванная взаимодействием различных струй и наличием ограждений, и неизотермичность обстановки в помещении. В результате взаимодействия всех перечисленных факторов в помещении возникает циркуляция воздуха, включающая струйную область и область обратных потоков.
Остановимся на возможных подходах к решению этой задачи. Принципиально здесь можно выделить два подхода.
Первый из них базируется на расчетных физико-математических моделях, которые используют фундаментальные законы движения газов (законы сохранения), отраженные в уравнениях Навье-Стокса. Эти расчетные модели позволяют рассчитывать скорости во всем объеме помещения. Однако для их реализации требуется знание турбулентных характеристик во всех точках помещения. Рядом исследователей (в частности, в лаборатории инженерного оборудования МНИИТЭПа под руководством М. Я. Поза) были получены данные о микроструктуре (турбулентных характеристиках) потоков для некоторых типов помещений, что дает возможность расчета температур и скоростей в таких помещениях. Широкое использование этих расчетных методов тормозится отсутствием подобной информации для других классов помещений и трудоемкостью решений.
Другой путь решения проблемы, существенно более простой, – применение известного в механике жидкостей и газов метода «склейки» течений для различных зон помещения [1]. Этот метод состоит в том, что для каждой из зон расчет выполняется с использованием системы уравнений более простой, чем уравнения Навье-Стокса. Полученные решения «склеивают» или «стыкуют» на границе зон так, чтобы выполнялись некоторые физические условия (например, равенство скоростей, температур и т. д.). Обычно выделяют зоны струйных течений и зоны обратных потоков. В данной работе этот метод использован в следующей модификации: в струйной области расчет выполняется на основании уравнений пограничного слоя, а в обратной – в двух вариантах: как в зоне потенциального течения или позонной «одномерной» модели. Этот метод может быть использован в тех случаях, когда извес-тен характер циркуляционных потоков в помещении, который определяется физикой явления, т. е. этапом, предваряющим расчет, должен стать этап изучения характера циркуляции. Изучались два типа помещений, характерных для общественных зданий: помещения большого объема, зрительные, спортивные и торговые залы, и помещения малого объема, так называемые кабинетные помещения, к которым относятся номера гостиниц, палаты больниц, классные помещения школ, а также различные конторские и административные помещения.
![]() |
Рисунок 1. Схема модели для изучения воздушных потоков в помещении с горизонтальным полом и с имитацией трибун: а – с горизонтальным полом; б – с имитацией трибун; в – схема расположения точек измерения по оси модели, сечения (I-I) – (7-7); 1 – корпус; 2 – приточный вентилятор; 3 – регулировочная сетка (регулятор расхода); 4 – электронагреватель; 5 – ванночка с машинным маслом; 6 – электронагреватель для визуализации потока; 7 – теплоизоляция пола модели |
Говоря об изучении вопросов формирования теплового режима в залах больших объемов, нужно отметить, что температурные и скоростные поля в объеме помещения формируются в результате взаимодействия потоков конвективного происхождения, возникающих в нижней зоне, и приточных струй. Естественно, изучение характера циркуляции воздушных потоков в таких помещениях в натурных условиях, т. е. в залах, заполненных посетителями или зрителями, затруднено. Поэтому изучение начиналось на экспериментальной модели, которая позволяла проследить, как формируется температурное поле помещения [2]. Эта модель не являлась моделью какого-то конкретного сооружения. В данном случае моделировалось явление. Схема модели приведена на рис. 1. К полу модели были прикреп-лены электронагреватели переменной мощности, позволяющие имитировать конвективные тепловыделения. Воздух подавался через щель. Испытания проводились в двух вариантах: пол горизонтальный и пол под углом 10°, что соответствует геометрии зрительных залов. Исследования были начаты при отсутствии вентиляции, т. е. при отсутствии притока в модель. В этом случае характер циркуляции определяется степенью нагрева панели. Рассмотрим модель с наклонным полом. Эксперименты показали, что, в отличие от сущест-вующего мнения о том, что при наличии тепловыделений в нижней зоне воздушные потоки направлены вверх, в зоне, примыкающей к нагреваемой панели, возникает поток, направленный вдоль панели, поток, который в гидродинамике носит название пограничного слоя. Поток этот образуется в результате того, что вдоль панели возникает градиент давлений. Движение носит неустойчивый характер. Вдоль пластины наблюдается отрыв отдельных жгутов от поверхности панели – образование так называемых «термиков», что приводит к интенсивному перемешиванию воздуха за пределами пограничного слоя, т. е. в центральной части модели. Следствием этого перемешивания является практически незначительная величина вертикального градиента температур – 1,5–2 °С, (рис. 2а). В то же время эксперименты показали наличие горизонтального градиента температур (3–3,5 °С), т. е. возрастание температуры по направлению к торцевой стенке модели. При подаче в объем модели приточного воздуха в целом циркуляция носит тот же характер (неустойчивость движения, наличие «жгутов»). Разница состоит в том, что приточная струя, проникнув в помещение, разворачивается. Таким образом, нагреваемая панель обдувается обратным потоком, т. е. движение воздуха над панелью носит характер смешанной естественной и вынужденной конвекции (рис. 2б).
![]() |
Рисунок 2. (подробнее) Схемы циркуляции воздушных потоков в вентилируемых помещениях общественных
зданий: |
В случае горизонтальной пластины (горизонтальный пол) прилегающий к ней слой также прогревается, однако в силу неоднородности прогрева, наряду с вертикальным градиентом давлений (величина которого характеризует «подъемную» силу), вдоль пластины также возникает горизонтальный градиент давлений. Он служит причиной возник-новения вдоль пластины течения типа пограничного слоя. На некотором расстоянии от края пластины, с того момента, когда подъемная сила начинает превосходить силы вязкости, от пластины начинают отрываться отдельные вихри или термики. Однако эти «отрывы» носят вначале нестабильный характер, что дает основание считать движение безотрывным до того момента, пока весь поток не оторвется от плоскости с образованием восходящего потока. Течение типа пограничного слоя у горизонтальных пластин может возникать с двух противоположных сторон. «Отрыв» может происходить до того, как оба пограничных противоположно направленных слоя встретятся.
![]() |
Рисунок 3. (подробнее) Изменение относительной осевой скорости (а) и осевой температуры для плоских струй, направленных вертикально вниз, в условиях вертикального градиента температур (∂t/ ∂k) < 0, сплошная линия – Ar = 0,003, пунктирная – Ar = 0 |
Помимо сделанных общих выводов (о характере циркуляции, неустойчивости движения, преобладающем влиянии горизонтального градиента температур и т. д.), эксперименты позволили сделать некоторые частные выводы, которые представляют интерес не только при расчетах систем воздухораспределения, но и при решении других задач отопительно-вентиляционной техники [3, 4]. Оказалось так, что профиль температур в пределах пограничного слоя зависит не только от относительной геометрической координаты (y/x), как принято считать при расчете струйных течений. На профиль значительное влияние оказывает отношение критериев Грасгофа и Рейнольдса, определяющих естественную и вынужденную конвекции. Это приводит к уменьшению толщины пограничного слоя примерно вдвое. Второй существенный момент, на который следует обратить внимание – это то, что при расчете струйных течений на основе интегральных зависимостей в неизотермических условиях необходимо учитывать наличие градиента температур.
![]() |
Рисунок 4. (подробнее) Изменение температуры воздуха по высоте модели на расстоянии x–= 22 (а), x– = 46 (б), x–= 65 (в) при ее высоте H = 200 мм, температуре панели tпр = 35 °C и скорости выпуска воздуха uo = 2 м/с: 1 – данные эксперимента; 2 – расчет на основе потенциальной модели |
В итоге, приняв напряжения трения равными нулю, а давление постоянным во всем объеме, получим систему дифференциальных уравнений:
– для вертикальной плоской неизотермической струи:
(1)
– для вертикальной осесимметричной струи:
(2)
Знак (+) – струя направлена вверх, а (–) – вниз. Примеры решения уравнений при линейном законе изменения температуры по высоте приведены на рис. 3. В уравнениях перепады температур нормированы относительно начального перепада между струей и окружающим воздухом у выпуска. В случае, когда указанный перепад равен нулю, температуру следует нормировать относительно некоторого другого характерного перепада температур, например, между струей и температурой в центре помещения, или не приводить уравнения к безразмерному виду. Уравнения могут быть решены любым численным методом. Из графика видно, что температурная стратификация существенно изменяет параметры струи. Анализ характера изменения относительной температуры в холодной, направленной вниз плоской струе показывает, что увеличение абсолютного значения Dt– (перепада температур по высоте помещения) приводит к более существенному изменению Qм. При этом на некотором расстоянии от истечения может наблюдаться изменение знака Qм. Это объясняется тем, что вблизи истечения холодная струя, естественно, имеет более низкую температуру, чем окружающий воздух. Прогреваясь в верхних слоях помещения, струя переносит тепловую энергию из верхних слоев в нижние. При этом на некотором расстоянии температура струи может оказаться выше температуры окружающего воздуха. Характер изменения относительной скорости струи соответствует температуре окружающего воздуха. Там, где температура струи ниже температуры окружающего воздуха, изменение скорости происходит медленнее, т. к. на этом участке направление архимедовых сил совпадает с вектором скорости. Когда температура в струе оказывается выше температуры окружающего воздуха, архимедовы силы препятствуют движению струи, скорость в ней затухает быстрее. При больших (по абсолютной величине) отрицательных значениях Aro влияние окружающей среды весьма сущест-венно, а при малых – кривые, соответствующие различным значениям Dt, лежат в непосредственной близости друг от друга. При подаче теплой струи вниз скорости гаснут существенно быстрее, причем влияние относительного градиента температур меньше, чем в предыдущем случае. Это объясняется тем, что векторы сил инерции и гравитации в этих условиях всегда направлены навстречу друг другу. При этом возможны даже ситуации, когда приточная теплая струя, наталкиваясь на сопротивление гравитационных сил, быстро затухает или разворачивается и развивается в противоположном направлении, т. е. «снизу вверх». Как уже было сказано ранее, расчет температурных и скоростных полей методом «склейки» потоков требует стыковки на границе физических условий для двух областей; области струйных течений и области эжектируемых ими обратных потоков. Расчет температур и скоростей для зоны обратных потоков, где градиенты температур и скоростей невелики и носят плавный характер, может быть выполнен по закономерностям, применимым к идеальной жидкости – закономерностям «потенциальной» модели.
![]() |
Рисунок 5. Расчетная схема одномерной модели |
Были рассчитаны температуры и скорости воздуха в объеме экспериментальной модели размерами 800 х 200 х 200 мм, подача воздуха через верхнюю щель 6 мм со скоростями 1 и 2 м/с (рис. 1а).
Данные расчета и эксперимента приведены на рис. 4.
Сопоставление этих данных позволяет констатировать следующее. Расчеты на основе потенциальной модели правильно отражают характер изменения температур по вертикали. Однако вблизи панели модель потенциального течения дает более плавное изменение температуры, чем наблюдаемое в натуре. Это объясняется тем, что потенциальная модель не учитывает особенности пограничного слоя – влияния силы вязкости и наличия значительных градиентов скоростей и температур. Наиболее простой разновидностью метода «склейки» течений, используемой для расчета движения жидкости в зоне обратных потоков, является одномерная модель. Общий принцип ее использования сводится к следующему. В помещении для зоны обратных потоков выделяют основное направ-ление движения. Вдоль этого направ-ления помещение разбивают на зоны. Для каждой зоны составляют уравнения сохранения массы, и по ним определяют расходы воздуха в каждой зоне. Используя найденные расходы воздуха и зная распределение по зонам источников и стоков тепловой энергии, на основе уравнений сохранения тепловой энергии определяют средние температуры в отдельных зонах. Близкий к изложенному подход продемонстрирован в работах [5–8]. Естественно, что задачу о распределении температур и масс можно решать также на основе дифференциальных уравнений, составляя уравнения теплового баланса для простейших элементов объема.
![]() |
Рисунок 6. Сравнение данных расчета среднемассовой температуры в помещении по одномерной модели с экспериментальными данными, полученными на модели зрительного зала (H = 200 мм, a = 10°): а – tпн = 50 °С; uo = 2 м/с; б – tпн = 50°С; uo = 1 м/с; 1-экспериментальные значения температур на расстоянии y = 45 мм от панели; 2 – то же, y = 95 мм; 3 – экспериментальные средние по сечению значения температур. Пунктиром показаны данные расчета по одномерной модели |
Использование одномерной расчетной модели поясним на примере помещения, принципиальная схема вентиляции которого приведена на рис. 5. Приточная струя в данном случае развивается вдоль двух ограждений. Тепловой поток проходит через ограждение, противоположное струе, удаление воздуха через вытяжное отверстие. При этом может быть задана величина интенсивности теплового потока q либо условие теплопередачи через ограждение q = k (t – t∞). Более полный набор возможных схем вентиляции помещений рассмотрен в [3].
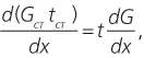
Изменение энтальпии в струе происходит в результате увеличения расхода воздуха из обратного потока, т. е. можно записать следующее дифференциальное соотношение:
(3)
из которого вытекает:
(4)
и
(5)
где Gст. o, tст. o – массовый расход и среднемассовая температура в сечении струи под потолком при x = 0.
Изменение энтальпии обратного потока происходит в результате ухода части воздуха в струю t (dG/dx) и в связи с наличием теплового потока – через ограждение (может быть с плюсом или минусом), т. е. можно записать:

и далее:
(6)
где Go, to – массовый расход и среднемассовая температура в обратном потоке при x = 0.
С учетом того, что Gобр = Gст – Gпр, получаем:

при x1 = L – x.
Полученные зависимости могут быть упрощены для плоских настилающихся струй с учетом, что в плоских слабонеизотермических полуограниченных струях приближенно можно считать:
![]()
где ![]()
Для рассматриваемых задач
![]()
Сравнение экспериментальных данных (температур) с температурами, рассчитанными по зависимостям для одномерной модели, показано на рис. 6. Приводятся кривые изменения температур, измеренных в объеме экспериментальной модели, описанной ранее. Как видно из графика, значения температур, рассчитанные по одномерной модели, близки к измеренным за пределами пограничного слоя. Кроме того, из графика видно, что температура вдоль панели непостоянна, т. е. вдоль панели существует горизонтальный градиент температур. На рис. 7 приведены экспериментальные и рассчитанные среднемассовые температуры для приточной струи, развивающейся под потолком. Расчеты выполнены на основе традиционных зависимостей, а также на основе одномерной модели, учитывающей наличие горизонтального градиента температур. Анализ приведенных данных показывает, что в области струйного течения при горизонтальном градиенте расчет основных характеристик струи должен выполняться с учетом этого градиента. Для помещений кабинетного типа испытания были проведены в микроклиматической камере МНИИТЭПа, размеры которой соответствуют размерам реального помещения – 3 х 4,5 м. Камера состояла из теп-лого и холодного отсеков. В холодном располагалось оборудование, позволяющее поддерживать температуру до -30 °С, имитируя наружные условия. Испытания проводились с учетом возможной меняющейся по своей величине инфильтрации при подаче приточного воздуха под потолком противоположной окну стены в режимах воздушного отопления, вентиляции при наличии водяного отопления и охлаждения. Были испытаны воздухораспределители двух типов: нерегулируемая традиционная решетка и высокоскоростное сопло. Визуализация воздушных потоков позволила установить характер циркуляции. Анализ результатов испытаний показал, что в таких помещениях (с преобладающим влиянием вертикального градиента) наиболее логичным является использование модели потенциального течения или «одномерной», c вертикальным разбиением.
![]() |
Рисунок 7. Изменение относительной температуры для плоской полуограниченной струи: |
Некоторые из результатов испытаний приведены на рис. 8. Там же приведены результаты расчета по зависимостям «одномерной» модели. (Подробнее методика проведения испытаний, программа и т. д. приведены в [3]). Как видно из графиков, данные эксперимента хорошо согласуются с результатами расчета. Не останавливаясь подробно, следует заметить, что результаты расчета по потенциальной модели также дают хорошее совпадение с экспериментом.
Проведенные исследования дали возможность условно разбить все помещения на 4 группы и классифицировать их следующим образом:
• 1-я группа – помещения с неизвестным характером циркуляции, расчет в таких помещениях ведется по программе, основанной на уравнениях Навье-Стокса;
• 2-я группа – помещения с известным характером циркуляции, в которых вертикальный и горизонтальный градиенты температур соизмеримы, расчет ведется методом «склейки» течений с расчетом зоны обратных потоков с использованием потенциальной модели;
• 3-я группа – помещения типа зрительных залов, где преобладает влияние горизонтального градиента температур, расчет ведется методом «склейки» течений с расчетом зоны обратных потоков или по зависимостям «потенциальной» модели или «одномерной», с разбивкой на зоны по горизонтали;
• 4-я группа – помещения кабинетного типа, с преобладающим влиянием вертикального градиента, расчет выполняется или по «потенциальной» модели, или по «одномерной», с разбивкой на зоны по вертикали.
![]() |
Рисунок 8. (подробнее) Сравнение расчетных и экспериментальных значений градиента температур: 1 – расчетное значение ∆tоб при 100 м3/ч; 2 – то же при 200 м3/ч; x, + – максимальное и, соответственно, среднее значение ∆t по результатам эксперимента при 100 м3/ч; О, Q – то же при 200 м3/ч |
![]() |
Рисунок 9. Схема вентиляции залов зрелищных сооружений: а – одноконтурная, б – двухконтурная; 1, 2 – циркуляционные контуры |
![]() |
Рисунок 10. Схема вентиляции торговых залов: а – двухконтурная, б – одноконтурная; 1 – циркуляционный контур |
![]() |
Рисунок 11. Схема взаиморасположения приточных и вытяжных устройств: а – проточная, б – тупиковая |
На базе приведенной классификации была разработана автоматизированная и ручная методика расчета систем воздухораспределения. Автоматизированная методика предназначена для расчета по «потенциальной» или «одномерной» модели. Ручная методика расчета предназначена для «одномерной» модели в ее простейшем варианте – при 2-зонной модели.
Расчеты могут выполняться в двух модификациях:
• 1-я – как конструкторский расчет на стадии проектирования;
• 2-я – как поверочный расчет для существующих систем.
Покажем инженерную методику расчета для помещений 3-й группы, для зрительных и торговых залов, где преобладает горизонтальный градиент. Методика базируется на «одномерной» модели. Вентиляцию зрелищных сооружений и аудиторий можно осуществлять по одноконтурной или двухконтурной схеме. При одноконтурной схеме весь объем помещения вентилируется одним контуром. Двухконтурная схема предполагает конструктивное выделение высоко расположенной части зала (амфитеатра) и организацию в этой части самостоятельного контура (рис. 9, 10). Для помещений торговых залов, отличающихся большей протяженностью, характерны односторонняя и двухсторонняя воздухораздача. При двухсторонней воздухораздаче вентиляция двух смежных модулей осуществляется двумя идентичными циркуляционными контурами, формирующимися справа и слева от воздухораздающего воздуховода. При односторонней схеме возможно возникновение двух последовательных циркуляционных контуров, один из которых является первичным, а другой – вторичным (рис. 9). Кроме того, вентиляция помещений любого назначения в соответствии с взаимным расположением приточных и вытяжных устройств, может производиться по тупиковой или проточной схеме (рис. 11).
Конструкторский расчет выполняется в следующем порядке:
1. Определяем требуемый по санитарным нормам минимальный расход приточного воздуха.
2. Исходя из геометрии помещения, определяем схему циркуляции (одноконтурная или двухконтурная), место установки и тип воздухорас-пределителей.
3. Определяем минимальное количество воздухораспределителей в зависимости от предельной скорости выпуска воздуха.
4. Определяем теплопоступления в обитаемой зоне помещения.
5. Из теплового баланса определяем рабочую разность температур в помещении Dtраб (°C):
![]()
где Q и L – соответственно тепловая мощность системы в ккал/ч и ее производительность в м3/ч. При двухконтурной схеме определяем Dt1раб для первичного контура, длина которого l1 :

где B – глубина помещения, м;
l1 – глубина первичного контура, м.
6. Определяем температуру удаляемого воздуха: tуд = t1 = tпр + Dtраб, °C.
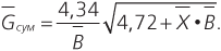
7. Определяем относительный суммарный расход воздуха G–сум в обратном потоке:
– для помещений с проточной схемой воздухообмена:

где B – относительная глубина помещения, равная B/h;
X – относительная текущая координата, равная X/B;
– для помещений с тупиковой схемой воздухообмена:
![]()
8. Определяем приведенный относительный суммарный расход G–прсум:
![]()
где lвоз – суммарная фронтальная длина воздухораспределителей;
lвоз = Sb для плоских струй (h • b – размеры приточного устройства, где h – высота, м, b – ширина, м); A – фронтальный размер помещения, м. (Предлагаемая методика носит универсальный характер. В настоящей статье приведены зависимости для плоской струи.)
9. По графику, приведенному на рис. 12, определяем максимальное падение температуры Dt в пределах первичного контура, в зависимости от G–прсум и tраб.
10. Определяем максимальную температуру в помещении в начале первичного контура, т. е. в верхней части зала to = t1 + Dt.
Если to, t1, Dt соответствуют санитарным нормам, то расчет считается законченным. В противном случае следует выполнить вторую часть расчета, увеличив расход воздуха (т. е. уменьшить рабочую разность Dtраб), либо выделить зону помещения, обслуживаемую вторичным циркуляционным контуром.
Подробнее о предлагаемой методике см. [9].
Методика реализована в ряде проектов: киноконцертный зал на 1500 человек, конференц-зал на 800 человек и др.
![]() |
Рисунок 12. (подробнее) Зависимость перепада температур t0 – t1 от относительного суммарного расхода воздуха G–сум при различных значениях ∆tраб – а – проточная схема, б – тупиковая |
Литература
1. Шилькрот Е. О. Эффективность систем отопления и вентиляции зданий // АВОК. 2003. № 4.
2. Разработка методов расчета микроклимата в вентилируемых помещениях при различных способах воздухораздачи отопления / Научно-технический отчет МНИИТЭПа, шифр НИ-2650, 1983.
3. Кац Р. Д. Воздухораспределение в вентилируемых помещениях общественных зданий с применением высокоскоростных воздухорас-пределителей / Дисс. канд. техн. наук – УДК 697.922: 725/727 НИИСФ, 1985.
4. Поз М. Я., Кац Р. Д., Кудрявцев А. И. Расчет параметров воздушных потоков в вентилируемых помещениях на основе «склейки» течений: Сб. научных статей // Под ред. Грудзинского М. М., Поза М. Я. МНИИТЭП, 1984.
5. Гримитлин М. И., Позин Г. М. Определение коэффициента эффективности использования воздуха / Воздухораспределение. М.: МДНТП, 1974.
6. Гримитлин А. М., Позин Г. М. Методика расчета воздушного отопления с сосредоточенной подачей воздуха в помещение / Гид-родинамика и теплопередача в санитарно-технических устройствах / Межвузовский сб., Казань, 1980.
7. Позин Г. М. Принципы разработки приближенной математической модели тепловоздушных процессов в вентилируемых помещениях. Известия высших учебных заведений. Раздел: Строительство и архитектура. Новосибирск, 1980. № 11.
8. Гримитлин М. И. Распределение воздуха в помещениях. «АВОК Северо-Запад», 2004.
9. Кац Р. Д. Инженерный метод расчета воздухораспределения в вентилируемых помещениях: Сб. научных статей // Под ред. Грудзинского М. М., Поза М. Я. МНИИТЭП, 1984 – «Воздухораспределение в вентилируемых помещениях зданий».
E-mail: r_kats@mail.ru
Статья опубликована в журнале “АВОК” за №4'2005
Статьи по теме
- Практика выбора воздухораспределителей
АВОК №3'2005 - Жилая застройка в естественном воздушном цикле
АВОК №2'1999 - KWL - центр. Системы регулируемой вентиляции с утилизацией теплоты
АВОК №5'1998 - Качество внутреннего воздуха в XXI веке: влияние на комфорт, производительность и здоровье людей
АВОК №4'2003 - Новое оборудование для очистки вентиляционных выбросов промышленных кухонь
АВОК №7'2005 - Вентиляция и курение. Контроль за качеством воздуха
АВОК №4'2006 - Реверсивные системы активной вентиляции овощекартофелехранилищ
АВОК №3'2007 - Новый стандарт высшего профессионального образования
АВОК №7'2011 - Расчет параметров конвективных потоков, формирующихся от нагретых поверхностей оборудования в промышленном здании
АВОК №5'2013 - Комплекс «Федерация». Системы вентиляции, кондиционирования и холодоснабжения башни «Восток»
АВОК №7'2015
Подписка на журналы
























