Расчет системы водопровода горячей воды в режиме циркуляции
Система водопровода горячей воды рассчитывается в двух режимах – режиме водоразбора и режиме циркуляции. В данной статье детально рассмотрен режим циркуляции.
Цель расчета в режиме циркуляции – обеспечить нормативную температуру воды у всех потребителей в период минимального потребления.
Расчет системы водопровода горячей воды в режиме циркуляции
Система водопровода горячей воды рассчитывается в двух режимах – режиме водоразбора и режиме циркуляции. В данной статье мы детально рассмотрим режим циркуляции. Цель расчета в режиме циркуляции – обеспечить нормативную температуру воды у всех потребителей в период минимального потребления.

Цель этого режима – обеспечить нормативную температуру воды у всех потребителей в период минимального потребления.
Последовательность выполнения расчета:
- рассчитать тепловые потери подающих трубопроводов;
- определить допустимое остывание воды;
- рассчитать общий циркуляционный расход, который компенсирует тепловые потери при допустимом остывании воды;
- рассчитать распределение общего циркуляционного расхода по циркуляционным кольцам;
- подобрать диаметры циркуляционных трубопроводов;
- рассчитать потери напора по всем кольцам (при циркуляционном расходе) по подающим и циркуляционным трубопроводам (от ИТП до ИТП);
- подобрать циркуляционный насос;
- рассчитать четыре параметра разбалансировки циркуляционных колец – циркуляционного расхода, температуры, потерь напора, пропускной способности клапанов;
- определить настройку балансировочных клапанов.
Тепловые потери
Основной показатель, влияющий на расчет циркуляции, – это тепловые потери. Тепловые потери рассчитываются согласно СП 61.13330 (требование СП 30.13330, п. 5.12). Они зависят от характеристик сети водопровода (диаметра трубопроводов, толщины изоляции и температуры воздуха) и не зависят от расхода на водопотребление (от теплового потока на приготовление горячей воды). То есть тепловые потери (и зависящий от них циркуляционный расход воды) нельзя определять как процент от расхода (от нагрузки) на хозяйственно-питьевое водопотребление.
Тепловые потери Qht, Вт, вычисляются по формуле

где k – коэффициент теплопередачи, Вт/(м·°C);
tвн– температура горячей воды, °C;
tнар – температура окружающего воздуха, °C;
l – длина трубопровода, м.
Коэффициент теплопередачи k, Вт/(м·°C), вычисляется по формуле

где Rтр – термическое сопротивление теплопроводности трубопровода, (м2·°C)/Вт;
Rиз – термическое сопротивление теплопроводности изоляции, (м2·°C)/Вт;
Rнар – термическое сопротивление теплоотдачи наружного слоя, (м2·°C)/Вт.
Термические сопротивления зависят от тепловодности труб и изоляции, а также от коэффициента теплоотдачи наружной поверхности.
Общий циркуляционный расход
Циркуляционный расход горячей воды , л/с, вычисляется по формуле

где QhtТЗ – тепловые потери в подающих трубопроводах, Вт;
ρ – плотность воды, кг/м3;
с – удельная теплоемкость воды, кДж/(кг·°C);
Δt – допустимое остывание воды, °C;
thТЗ – температура горячей воды на выходе из ИТП, °C;
th – минимальная температура горячей воды у потребителя, °C.

Важно отметить, что цель циркуляционного расхода – обеспечить минимальную нормативную температуру воды у потребителя (60 °C), и при расчете мы должны учитывать только тепловые потери подающих трубопроводов (Т3). При этом допустимое остывание воды (Δt) также необходимо учитывать только по подающим трубопроводам (Т3) и принимать как 5 °C – разница температур горячей воды на выходе из ИТП и у потребителя (65–60 °C).
Общий циркуляционный расход воды необходим для подбора циркуляционного насоса.
Распределение циркуляционного расхода
Общий циркуляционный расход воды распределяется по циркуляционным кольцам неравномерно. Чем дальше циркуляционное кольцо от ИТП, тем длиннее сеть и больше тепловых потерь, и следовательно, требуется бóльший циркуляционный расход для компенсации этих тепловых потерь.
Пример

Потери напора
Зная циркуляционный расход воды через каждое циркуляционное кольцо, мы можем определить потери напора в этих кольцах. Чаще всего диктующим (имеющим максимальные потери напора) циркуляционным кольцом будет кольцо, наиболее удаленное от ИТП. К тому же в этом кольце нам необходимо обеспечить наибольший циркуляционный расход, т. е. потери напора в этом кольце будут еще больше.
Результатом расчета потерь напора является разница в потерях напора между диктующим циркуляционным кольцом и каждым циркуляционным кольцом. Во всех кольцах мы должны выровнять (при помощи балансировочного клапана) потери напора, при этом циркуляционный расход в кольцах будет различен.

Пример результата гидравлического и теплового расчета

Балансировка
Когда мы определили циркуляционный расход воды через каждый балансировочный клапан (через каждое циркуляционное кольцо) и потери напора, которые мы должны обеспечить на клапане, мы можем вычислить пропускную способность клапана.
В данном примере примем, что балансировочные клапаны установлены на каждом циркуляционном кольце.
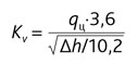
Пропускная способность ручного балансировочного клапана Kv, м3/ч, вычисляется по формуле

где qц – циркуляционный расход воды через балансировочный клапан, л/с;
Δh – потери напора, которые необходимо обеспечить на клапане, м;
3,6 – коэффициент перевода (1 л/с = 3,6 м3/ч);
10,2 – коэффициент перевода (1 бар = 10,2 м).
После определения пропускной способности клапана можно определить его настройку (согласно паспорту на клапан).
Пример

* Применение балансировочного клапана на диктующем циркуляционном кольце не требуется.
Выводы
Для правильного функционирования системы водопровода горячей воды необходимо проводить гидравлический и тепловой расчет в режиме циркуляции.
Основная задача расчета в режиме циркуляции – определить циркуляционный расход воды, который компенсирует тепловые потери и обеспечит нормативную температуру горячей воды у потребителя.
Правильный расчет обеспечивает необходимый комфорт жителей и снижает количество жалоб в эксплуатирующую компанию.
«УМНАЯ ВОДА» – программа для проектирования систем внутреннего водопровода и канализации зданий создана группой разработчиков компании «ЭЛИТА».
8 (800) 550-50-70
Статья опубликована в журнале “Сантехника” за №1'2026
pdf версия Статьи по теме
- Расчетные режимы системы ГВС
АВОК №1'2025 - Опыт развития системы централизованного теплоснабжения на примере города Риги
АВОК №5'2016 - Экономическая оценка конструктивных решений тепловой защиты зданий
АВОК №4'2018 - Управление энергосбережением – аспект предельной полезности
Энергосбережение №6'2018 - Техническая тепловая изоляция на основе вспененной полимерной композиции Unionflex
АВОК №2'2022 - К вопросу о климатических изменениях
Энергосбережение №1'2023 - Энергоэффективные окна – важнейший элемент для достижения домом нулевого энергопотребления
Энергосбережение №8'2024 - Особенности проектирования систем водоснабжения и водоотведения для учреждений здравоохранения
Сантехника №2'2018 - Горизонтальная система горячего водоснабжения: как обеспечить циркуляцию при поквартирном учете
АВОК №4'2020 - Горизонтальная система горячего водоснабжения: как обеспечить циркуляцию при поквартирном учете
Сантехника №1'2023
Подписка на журналы













