Теплозащита наружных стен зданий с облицовкой из кирпичной кладки
Современные стеновые ограждающие конструкции в массовом строительстве полностью изменились за последние 15 лет. В последние годы осуществляется строительство монолитных зданий с навесными стенами с облицовкой из кирпичной кладки. В связи с повреждением стен ряда эксплуатируемых зданий подобного типа зимой 2008 года были проведены натурные обследования более 50 объектов. В ходе работы были исследованы теплозащитные свойства этих стен. Результаты этого исследования приводятся в статье.
Теплозащита наружных стен зданий с облицовкой из кирпичной кладки
Современные стеновые ограждающие конструкции в массовом строительстве полностью изменились за последние 15 лет. В последние годы осуществляется строительство монолитных зданий с навесными стенами с облицовкой из кирпичной кладки. В связи с повреждением стен ряда эксплуатируемых зданий подобного типа зимой 2008 года были проведены натурные обследования более 50 объектов. В ходе работы были исследованы теплозащитные свойства этих стен. Результаты этого исследования приводятся в статье.
Основной причиной, вызвавшей появление новых ограждающих конструкций, стало введение повышенных требований к теплозащите с целью снижения затрат на отопление зданий. Несущие конструкции рассматриваемых зданий, в том числе перекрытия, выполняются из монолитного железобетона, а стены монтируются на межэтажные перекрытия. Основные преимущества стен с облицовкой из кирпичной кладки, по сравнению со стенами с навесными теплоизоляционными фасадными системами, заключаются в следующем:
• Привычный для населения вид кирпичных стен, которые прекрасно себя зарекомендовали в течение многих веков.
• Хорошая ликвидность квартир в таких домах.
• Небольшая металлоемкость.
• Сравнительно невысокая стоимость.
Внедрению рассматриваемых ограждающих конструкций не предшествовала стадия научных исследований, экспериментального стро-ительства, разработка специальных нормативных документов для проектирования, как это было принято в советское время. В результате все построенные здания со стенами с облицовкой из кирпичной кладки фактически являются экспериментальными. Результаты этого незапланированного гигантского эксперимента предстоит изучать и осмысливать еще много лет.
При проектировании ограждающих конструкций их теплофизические свойства, в том числе теплозащита, проверяются расчетом не полностью, а зачастую и вообще не проверяются. Негласно считается, что в массовом строительстве достигнут уровень теплозащиты, нормируемый в [1]. Иногда предлагается провести дальнейшее повышение этого уровня.
Далее рассмотрены теплозащитные свойства указанных стен, поскольку именно эти свойства послужили причиной появления и применения данных конструкций.
Определения (дефиниции) основных характеристик теплозащиты
Прежде чем перейти к основному содержанию статьи, представляется необходимым привести определение основной характеристики теплозащиты ограждающей конструкции – приведенного сопротивления теплопередаче и вспомогательных характеристик. Эта необходимость обусловлена отсутствием последовательной системы определений в нормативных документах и в учебниках.
Приведенным сопротивлением теплопередаче фрагмента ограждающей конструкции называется физическая величина численно равная отношению перепада температур воздуха по разные стороны ограждающей конструкции к осредненной по площади фрагмента плотности потока теплоты через данный фрагмент конструкции при стационарных условиях теплопередачи. Данное определение эквивалентно следующему: приведенным сопротивлением теплопередаче фрагмента ограждающей конструкции называется физическая величина численно равная перепаду температур воздуха по разные стороны ограждающей конструкции, при котором в стационарных условиях теплопередачи осредненная по площади фрагмента плотность потока теплоты через данный фрагмент конструкции, равна 1 Вт/м2.
Условным сопротивлением теплопередаче ограждающей конструкции называется приведенное сопротивление теплопередаче ус-ловной многослойной ограждающей конструкции, в которой отсутствуют теплопроводные включения и слои которой расположены перпендикулярно направлению потока теплоты через конструкцию.
Коэффициентом теплотехнической однородности фрагмента ограждающей конструкции называется величина, обратная отношению потока теплоты через рассматриваемый фрагмент конструкции к потоку теплоты через условную ограждающую конструкцию той же площади, что и рассматриваемый фрагмент.
Сформулированные определения можно уточнять и совершенствовать, например, в отношении уточнения площади, по которой осуществляется осреднение потока теплоты. Но в рамках данной статьи эти определения являются достаточными. Формулы для расчета приведенного сопротивления теплопередаче конструкций, используемые в статье, вытекают непосредственно из этих определений. Например, из сопоставления этих определений непосредственно следует, что коэффициент теплотехнической однородности равен отношению приведенного к условному сопротивлению теплопередаче ограждающей конструкции. Важно, что эти определения не опираются на понятие термического сопротивления, это позволяет избежать неопределимого понятия «приведенное термическое сопротивление», использование которого является логической ошибкой и затрудняет проведение расчетов. Кроме того, приведенное сопротивление теплопередаче определяется через поток теплоты и разность температур, а не через просто «сопротивление теплопередаче» и коэффициент теплотехнической однородности ограждающей конструкции, что также вносит путаницу в методику проведения расчетов.
Важной особенностью «приведенного сопротивления теплопередаче» является то, что оно относится к определенному фрагменту ограждающей конструкции. Если этот фрагмент не указан, то понятие, вообще говоря, лишено смысла. Однако обычно из контекста ясно, какой фрагмент имеется в виду. Если же и из контекста не видно, какой фрагмент имеется в виду, то термин «приведенное сопротивление теплопередаче стены» следует относить к совокупности всех стен здания. Именно так приходится понимать использование этого термина в СНиП [1] и в других документах.
Наконец, можно заметить, что понятие просто «сопротивление теплопередаче» ограждающей конструкции является лишним и практически может не использоваться. Оно было введено в учебниках, например, в книге К. Ф. Фокина [2] в то время, когда конструкций с существенными теплопроводными включениями было очень мало и понятие «приведенное сопротивление теплопередаче» отсутствовало. Возможно, что со временем из названия «приведенное сопротивление теплопередаче» исчезнет слово «приведенное», но смысл этого термина сохранится.
В настоящее время приведенное сопротивление теплопередаче фактически является единственной характеристикой теплозащиты ограждающей конструкции. Условное сопротивление теплопередаче характеризует несуществующую конструкцию его можно использовать в методических целях, но как характеристика теплозащиты оно непригодно. Коэффициент теплотехнической однородности, также не являясь показателем теплозащиты, характеризует конструкцию с точки зрения эффективности использования в ней теплоизоляционных материалов. Этот коэффициент зависит от того, какая конструкция принята в качестве условной. В связи с этим для определения теплозащиты ограждающей конструкции следует непосредственно рассчитывать приведенное сопротивление теплопередаче исходя из определения (дефиниции) этой величины, а затем в качестве справочной величины рассчитывать коэффициент теплотехнической однородности конструкции, а не наоборот, как часто делается. Именно такой порядок расчетов использован в настоящей статье.
Расчет характеристик теплозащиты стен с облицовкой из кирпичной кладки
Методика расчета
Методика расчета приведенного сопротивления теплопередаче при помощи расчета двухмерных или трехмерных температурных полей конструкции и ее узлов следует непосредственно из данного выше определения этого понятия. В этой методике нет ничего нового, однако практика показывает, что если ее и применяют, то далеко не всегда правильно.
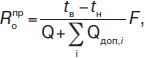
Согласно данному выше определению, приведенное сопротивление теплопередаче фрагмента ограждающей конструкции, Rпро, равно:
(1)
где Rпро – приведенное сопротивление теплопередаче фрагмента ограждающей конструкции, м2•°С/Вт;
tв, tн – температуры внутреннего и наружного воздуха, принятые для расчетов, °С;
Q – мощность потока теплоты по глади конструкции (через условную конструкцию), Вт;
Qдоп,i – дополнительная мощность потока теплоты обусловленная i-ым теплопроводным включением, Вт;
F – площадь фрагмента ограждающей конструкции, м2.
Величины Qдоп,i определяются на основе расчета температурных полей узлов конструкций. Формулу (1) целесообразно привести к виду, в котором используются не мощности потока теплоты, а плотности теплового потока q и qдоп.i:
(2)
Здесь:
(3)
Величины q и qдоп.i являются удобными с точки зрения сравнения вклада различных теплопроводных включений. Они характеризуют теплопотери с 1 м2 конструкции, обусловленные соответствующим теплопроводным включением. Поэтому они могут называться удельными теплопотерями, соответственно, по глади конструкции и дополнительными. Расчет удельных теплопотерь иллюстрируется примером в следующем разделе. По известным значениям q и qдоп.i вычисляется коэффициент теплотехнической однородности фрагмента конструкции, который в силу вышеприведенного определения этой характеристики и формул (3) равен:
(4)
Величины qдоп.i/q являются относительными дополнительными теплопотерями. Они характеризуют доли теплопотерь, обусловленных соответствующими теплопроводными включениями от теплопотерь по глади конструкции. Формулы (2) и (4) являются удобной основой для разработки инженерного метода учета того или иного теплопроводного включения при расчете Roпр конструкции. Но в рамках данной статьи это направление не развивается.
Расчет дополнительных теплопотерь от теплопроводных включений
На рис. 1 приведены принципиальные конструктивные схемы трех вариантов рассматриваемых стен. Эти конструктивные схемы взяты из проектов построенных зданий. Характеристики слоев и материалов конструкций, принятые в расчетах, приведены в табл. 1.
![]() |
Рисунок 1. Схемы конструкций стен с облицовкой из кирпичной кладки: 1 – штукатурка внутренней поверхности, кладка из ячеистобетонных блоков, кладка из лицевого кирпича; 2 – железобетонная стена, эффективный утеплитель, кладка из лицевого кирпича; 3 – штукатурка внутренней поверхности, кладка из ячеистобетонных блоков, эффективный утеплитель, кладка из лицевого кирпича – в качестве эффективного утеплителя используются либо минераловатные плиты, либо пенополистирол |
| Таблица 1 Характеристики слоев и материалов стен с облицовкой из кирпичной кладки, принятые для расчетов |
||||||||||||||||||||||||||||||||
|
||||||||||||||||||||||||||||||||
* Для условий эксплуатации Б |
У рассматриваемых конструкций стен имеются следующие теплопроводные включения: кладочные растворные швы, арматурные сетки, гибкие связи, стык стены с перекрытием, оконные откосы, балконные плиты, ограждения лоджий. Каждое из этих теплопроводных включений характеризуется своими дополнительными теплопотерями, приводящими к снижению приведенного сопротивления теплопередаче. Конструктивные решения стен, для которых рассчитываются характеристики теплозащиты, отличаются от приведенных на рис. 1. Определение соответствующих значений qдоп,i осуществляется путем расчета двухмерных температурных полей1.
В качестве примера определения qдоп ниже подробно рассматривается расчет дополнительных теплопотерь, обусловленных теплопроводными включениями в виде перевязки кладок, арматурной сетки и горизонтальных растворных швов для конструкции (рис. 2), соответствующей схеме 1 по рис. 1. Условное сопротивление теплопередаче данной конструкции равно 3,92 м2•°С/Вт.
![]() |
Рисунок 2 (подробнее)
Конструктивное решение стены, соответствующее схеме 1 на рис. 1 |
Перевязка кладок, арматурная сетка и горизонтальные растворные швы повторяются через одинаковое расстояние по высоте (с одинаковым периодом) 0,39 м. Поэтому в качестве расчетного выбран участок с такой высотой, содержащий указанные теплотехнические неоднородности. Его размеры составили: 0,67 м в толщину и 0,39 м в высоту. Температурное поле расчетного участка стены приведено на рис. 3. По результатам расчета температурного поля определена мощность теплового потока через 1 погонный метр длины рассматриваемого неоднородного участка стены, которая составила 7,67 Вт/м. Мощность теплового потока через 1 погонный метр длины однородного участка стены (по глади конструкции) той же площади и при тех же температурах воздуха составляет2:

Таким образом, один погонный метр рассмотренной совокупности
теплопроводных включений вызывает дополнительную мощность тепловых потерь
Q~доп.i = 7,67 – 4,78 = 2,89 Вт/м. На один квадратный метр кладки по фасаду
приходится L = 2,56 погонных метра расчетных участков с
рассматриваемыми теплопроводными включениями3. Следовательно, дополнительная
плотность теплового потока, обусловленная теплопроводными включениями в виде
перевязки кладок, арматурной сетки и обычных горизонтальных растворных швов,
составляет
qдоп = 2,89 • 2,56 = 7,4 Вт/м2.
Аналогичным образом определяются дополнительные плотности теплового потока, обусловленные другими теплопроводными включениями. Результаты этих расчетов для конструкции, соответствующей схеме 1 по рис. 1, представлены в табл. 2.
| Таблица 2 Удельные теплопотери по глади и через теплопроводные включения стены с облицовкой из кирпичной кладки по рис. 2 |
||||||||||||||||||||||||
|
||||||||||||||||||||||||
* Количество погонных метров расчетных участков с рассматриваемыми теплопроводными включениями, L, зависит от проекта здания. Величина qдоп,i непосредственно зависит от Li. Для значений qдоп,i, приведенных в таблице, принято: L = 0,33 м/м2 для узла сопряжения стены с перекрытием; L = 0,70 м/м2 для оконных откосов; L = 0,10 м/м2 для узла сопряжения стены с балконной плитой; L = 0,02 м/м2 для узла сопряжения стены с ограждением лоджии. В качестве площади, к которой относится количество погонных метров, при составлении таблицы взята площадь всего несветопрозрачного фасада здания. Для других проектов зданий, даже при тех же конструктивных решениях узлов, соответствующие значения qдоп,i будут отличаться. |
Рассчитанные значения приведенных сопротивлений теплопередаче и коэффициентов теплотехнической однородности конструкций
Торцевая стена здания не содержит оконных проемов, балконов и лоджий, поэтому соответствующие значения дополнительных удельных теплопотерь, обусловленных этими теплопроводными включениями, для данного расчета не требуются. Данные табл. 2 позволяют получить значение приведенного сопротивления теплопередаче торцевой стены здания конструкции по рис. 2. Вычисление по формуле (2) дает:
Rопр= (20 – (–28))/(12,2 + 0,57 + 7,4 + 5,3) = 1,88 (м2•°С)/Вт.
Коэффициент теплотехнической однородности для конструкции торцевой стены вычисляется по формуле (3): r = 0,48.
Следует отметить, что согласно современным нормам к теплозащите зданий приведенное сопротивление теплопередаче наружных стен жилых зданий, например для Москвы, должно быть не менее требуемого значения 3,13 м2•°С/Вт (в СНиП II-3-79* это сопротивление называлось требуемым по условиям энергосбережения). Допускается снижение указанного требуемого значения до 1,97 м2•°С/Вт при условии, что выполняются требования к удельному расходу тепловой энергии на отопление здания. Как видно, полученное значение Rпро , равное 1,88 м2•°С/Вт, меньше минимально допустимого значения для жилых зданий в Москве.
Для всей стены здания значения qдоп,i зависят не только от конструктивного решения узлов, но и от архитектурного проекта здания. Для проекта здания, для которого составлена табл. 2, значение приведенного сопротивления теплопередаче следующее:
Rопр = (20 – (–28))/(12,2 + 0,57 + 7,4 + 5,3 + 3,5 + 1,6 + 0,25) = 1,56 (м2•°С)/Вт.
Коэффициент теплотехнической однородности равен: r = 0,40.
Следовательно, приведенное сопротивление теплопередаче всей стены здания не только меньше требуемого по условиям «энергосбережения», но и меньше минимально допустимого по [1]. То есть дом с такими стенами не соответствует современным требованиям по теплозащите. Обращает на себя внимание исключительно маленькое значение коэффициента теплотехнической однородности.
Приведенное сопротивление теплопередаче стен,
соответствующих схемам 2 и 3 по рис. 1, больше, чем соответствующих схеме 1.
Так, для торцевой стены, соответствующей схеме 2, было получено Rоусл = 4,46 (м2•°С)/Вт, Rопр = 2,43 (м2•°С)/Вт и r = 0,54.
Наибольшими теплозащитными свойствами обладает стена конструкции,
соответствующей схеме 3. Для торцевой стены этого типа было получено
Rоусл = 5,17 (м2•°С)/Вт, Rопр = 2,45 (м2•°С)/Вт и r = 0,47.
По результатам расчетов эти конструкции могут удовлетворять требованиям [1],
поскольку значения приведенного сопротивления теплопередаче превышают
минимально допустимое значение.
Оценка возможности повышения значений приведенных сопротивлений теплопередаче
Возникает естественный вопрос: что можно сделать для повышения сопротивлений теплопередаче рассматриваемых конструкций? О насущной необходимости и практических попытках проектировщиков создавать стены рассматриваемой конструкции с более высокими значениями приведенного сопротивления теплопередаче сообщила Е. Г. Малявина [4]. Плодотворную работу в данном направлении проводит ЦНИИЭП жилища. Однако в целом подобные попытки малорезультативны.
Из формулы (2) следует, что повысить значение Rопр можно двумя путями: снизить теплопотери по глади конструкции, то есть повысить Rоусл, и снизить дополнительные теплопотери, обусловленные теплопроводными включениями, то есть повысить r. Можно также совместить оба направления.
С точки зрения строительной практики наиболее перспективной представляется конструкция схемы 1 [4], поскольку она не содержит слоев эффективного утеплителя, что способствует повышению качества строительства. Однако именно эта конструкция обладает наиболее низкими значениями Rопр. Рассмотрим перспективы возможного повышения этого значения.
Снижения теплопотерь по глади данной конструкции можно получить увеличением толщины теплоизоляционного слоя, в данном случае ячеистого бетона и/или понижением теплопроводности материала этого слоя. Оба эти способа практически исчерпаны. Незначительное увеличение толщины кладки из ячеистого бетона не даст заметного эффекта, а существенное увеличение толщины, например до 1 м, представляется недопустимым, поскольку приведет к сокращению полезной площади помещений, снижению естественной освещенности, продолжительности инсоляции и многим другим проблемам. Теплопроводность ячеистого бетона зависит от его плотности, а применять ячеистый бетон с меньшей плотностью, чем 400 кг/м2, также нереально, поскольку его прочностные свойства настолько низкие, что получить качественную кладку не представляется возможным. Если все же удастся существенно понизить теплопотери по глади конструкции, то можно очень приближенно оценить предел, до которого повысится Rопр. Для этого в формуле (2) значение q следует принять равным нулю, для торцевой стены это дает:
Rо,макспр = (20 – (–28))/(0,57 + 7,4 + 5,3) = 3,6 (м2•°С)/Вт.
Получено довольно невысокое значение Rопр. С другой стороны, если полностью исключить влияние теплопроводных включений, то пределом, до которого может повыситься величина приведенного сопротивления теплопередаче, будет условное сопротивление теплопередаче, равное в данном случае 3,92 (м2•°С)/Вт. Также довольно небольшое значение.
![]() |
Рисунок 3. Температурное поле конструкции в зоне расположения арматурной сетки и горизонтального растворного шва. Температура внутреннего воздуха равна 20 °С, наружного -28 °С. Голубыми линиями отмечены изотермы, идущие с шагом 4 °С |
Предпочтительным путем повышения приведенного сопротивления теплопередаче представляется снижение влияния теплопроводных включений, поскольку конструкция обладает малым значением коэффициента теплотехнической однородности. Некоторого повышения значения r можно достичь исключив перевязи кладок и сократив длину арматурных сеток. Эти мероприятия позволят добиться значения приведенного сопротивления теплопередаче, несколько превышающего минимальное допустимое по [1]. В целом этот путь требует серьезной работы над узлами конструкции с целью поиска оптимальных с теплотехнической точки зрения решений. Однако приведенные оценки показывают, что резервы для повышения теплозащиты данной конструкции довольно малы. Последнее обстоятельство указывает на бесперспективность данной конструкции в случае дальнейшего повышения требований к теплозащите ограждающих конструкций.
Конструкции стен, соответствующие схемам 2 и 3, являются более перспективными с точки зрения повышения их теплозащитных свойств. Это объясняется более высокими значениями их условных сопротивлений теплопередаче и возможностью увеличения толщины эффективного утеплителя, что приводит к заметному повышению как Rоусл, так и Rопр. Тем не менее, оценка максимально достижимых значений без изменения конструктивных решений теплопроводных включений дала сравнительно невысокие значения Rо,макспр = 5,3 (м2•°С)/Вт для конструкции стены схемы 2 и 4,7 (м2•°С)/Вт для конструкции стены схемы 3. Невысокие значения предельных значений Rопр и низкие значения величины r показывают, что основной путь повышения теплозащитных свойств также заключается в совершенствовании узлов данных ограждающих конструкций.
В целом можно отметить, что при проектировании зданий со стенами с облицовкой из кирпичной кладки добиться соблюдения действующих норм по теплозащите можно с трудом, ориентируясь на минимально допустимое сопротивление теплопередаче, и не всегда это удается. Дальнейшее повышение требуемого сопротивления теплопередаче приведет к тому, что данные конструкции вообще не будут удовлетворять этим требованиям. Этот факт уже сейчас необходимо иметь в виду.
1 Методы расчета двухмерных температурных полей узлов ограждающих конструкций хорошо известны и применяются, по крайней мере, более 50 лет. Поэтому особенности применения таких методов в статье не рассматриваются.
2 При этом плотность теплового потока по глади конструкции равна q = (20 – (–28))/3,92 = 12,2 Вт/м2.
3 Данная величина измеряется в м/м2.
Литература
1. СНиП 23-02-2003. Тепловая защита зданий.
2. Фокин К. Ф. Строительная теплотехника ограждающих частей зданий. – М., Л., 1933.
3. Малявина Е. Г. Строительная теплофизика и проблемы утепления современных зданий. // АВОК, 2009, №1.
Статья опубликована в журнале “АВОК” за №5'2009
Статьи по теме
- Теплозащита наружных стен зданий с облицовкой из кирпичной кладки
АВОК №6'2009 - Эффективная теплозащита – дань моде или экономическая необходимость?
Энергосбережение №6'2011 - О необходимости корректировки СП 50.13330.2012 «Тепловая защита зданий»
АВОК №8'2017 - Энергоэффективные здания и инновационные инженерные системы
АВОК №1'2014 - Анализ действующих требований и методик по тепловой защите зданий
Энергосбережение №3'2018 - В поисках истины
АВОК №6'2014 - Анализ действующих требований и методик по тепловой защите зданий
Энергосбережение №4'2018 - Энергоэффективное жилье как норма. Результаты эксплуатации дома в Сургуте
Энергосбережение №5'2016 - О нормировании теплозащиты зданий по СП 50.13330.2024 «Тепловая защита зданий»
АВОК №5'2025 - Активная теплозащита пассивных зданий – перспективное решение для развития северных регионов России
Энергосбережение №6'2021
Подписка на журналы
















