Система водосточной сифонно-вакуумной канализации QSS+ DRAIN
В статье рассмотрена сифонно-вакуумная система внутреннего водостока QSS+ DRAIN как современное решение для зданий с большой площадью кровли. Подробно раскрыты гидравлические принципы работы. Представлены расчетные зависимости, а также требования действующей нормативной базы РФ. Показаны преимущества технологии: снижение диаметров труб, отсутствие уклонов, эффект самоочищения и сокращение капитальных затрат.
СИСТЕМА ВОДОСТОЧНОЙ СИФОННО-ВАКУУМНОЙ КАНАЛИЗАЦИИ QSS+ DRAIN
Проектирование зданий с большой площадью кровли требует перехода от традиционных самотечных схем к высокоэффективным технологиям сифонно-вакуумного водостока. Система QSS+ DRAIN представляет собой передовое инженерное решение, основанное на принципе возникновения расчетного разрежения в трубопроводах, работающих при полном заполнении сечения трубопроводов.
В условиях актуализации нормативной базы РФ, включая внедрение Изменения № 3 к СП 30.13330.2020 и введение в действие профильного ГОСТ Р 72567-2026 «Система водосточной сифонно-вакуумной канализации. Общие технические требования», соответствие проектных решений государственным стандартам становится приоритетным критерием выбора оборудования. Данная статья рассматривает гидравлические принципы работы, конструктивные особенности и нормативные аспекты применения системы QSS+ DRAIN как прямого инструмента оптимизации капитальных затрат и повышения эксплуатационной надежности объектов.
Принцип работы сифонной системы внутреннего водостока QSS+ DRAIN
Функционирование системы QSS+ DRAIN коренным образом отличается от традиционного самотечного водостока. В то время как обычная ливневая канализация перемещает воду за счет уклона труб и частичного их заполнения воздухом, работа QSS+ DRAIN базируется на гравитационно-вакуумном принципе.
Ключевой физический процесс можно разделить на несколько этапов.
Исключение попадания воздуха в систему. Центральным элементом системы является кровельная воронка QSS+ DRAIN, оснащенная специальным стабилизатором потока (отсекателем воздуха). При достижении расчетной интенсивности дождя конструкция воронки препятствует образованию воронкообразного вихря и попаданию воздуха в трубопровод. Это критическое условие для перехода системы из гравитационного режима в сифонно-вакуумный.
Формирование сплошного водяного столба. Благодаря точному расчету и подбору диаметров участков трубопроводов при заполнении водяной столб начинает движение по вертикальному стояку под действием силы тяжести. Поскольку воздух в систему не поступает, в трубопроводе образуется непрерывный поток жидкости, заполняющий 100 % сечения трубы (H/d = 1,0).
Возникновение разрежения (сифонно-вакуумный эффект). Движущийся вниз столб воды создает в верхней точке стояка зону пониженного давления – вакуум. Это разрежение моментально передается по горизонтальному коллектору (сборному трубопроводу) к приемным воронкам. В результате система начинает не просто принимать стекающую воду, а активно всасывать ее с поверхности кровли с высокой скоростью.
Энергетический баланс и самоочищение. Энергия, создаваемая перепадом высот от кровли до точки выпуска, расходуется на преодоление гидравлических сопротивлений в трубах меньшего диаметра. Высокие скорости движения потока (до 12 м/с) обеспечивают эффект динамического самоочищения: любая взвесь и мелкий мусор вымываются из системы в режимах полного наполнения, предотвращая заиливание горизонтальных участков.
Описанный принцип работы позволяет реализовывать проекты любой сложности, обеспечивая максимальную надежность водоотведения при минимальных затратах на материалы и монтаж в комплексе наружных и внутренних сетей ливневой канализации.
Формулы и математические расчеты
В данном разделе приведены ключевые расчетные параметры, на которых базируется проектирование и гидравлическое обоснование системы QSS+ DRAIN. Все вычисления производятся в строгом соответствии с актуальной нормативной базой Российской Федерации.
Определение расчетного расхода дождевых вод
Для точного подбора количества воронок и диаметров трубопроводов системы QSS+ DRAIN основополагающим является определение расчетного расхода воды (л/с) с водосборной площади. Согласно СП 30.13330.2020 (п. 21.10), расчет производится по следующим формулам:

где F – водосборная площадь, м2;
q5 – интенсивность дождя, л/с с 1 га (для данной местности), продолжительностью пять минут при периоде однократного превышения расчетной интенсивности, равной одному году, определяемая по формуле:
q5 = 4n · q20,
где n – параметр, принимаемый согласно СП 32.13330 (п. 7.4.2, табл. 8);
q20 – интенсивность дождя, л/с с 1 га (для данной местности), продолжительностью 20 минут при периоде однократного превышения расчетной интенсивности, равной одному году, принимаемая согласно СП 32.13330.
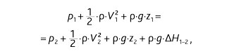
Гидравлический принцип и уравнение энергии
В отличие от традиционных систем в основе работы сифонно-вакуумной системы лежит закон Бернулли, который выявляет зависимость между скоростью жидкости и её давлением:

где p – статическое давление в трубе (Н/м2);
ρ – плотность жидкости (кг/м3);
V – скорость жидкости (м/с);
g – ускорение свободного падения (м/с2);
z – высота участка относительно выбранной точки (м);
?H1–2 – гидравлические потери в фитингах и на трение между участками 1 и 2, которые рассчитываются по выбранным методикам.
В настоящее время производители сифонно-вакуумных систем рассчитывают их, используя специализированное программное обеспечение (например, программное обеспечение «Проектирование систем ливневого водостока с кровли т. м. QSS+ DRAIN»), в основе которого лежит описанный выше закон.
Поскольку система работает в сифонно-вакуумном режиме при полном заполнении сечения (H/d = 1,0), диаметры труб в системе QSS+ DRAIN значительно меньше, чем в самотечных аналогах, при идентичной пропускной способности.
Время выхода на расчетную производительность
Критически важным параметром для сифонно-вакуумных систем является время заполнения – интервал от начала интенсивного выпадения осадков до момента, когда воздух полностью вытесняется из системы и она начинает работать в расчетном сифонно-вакуумном режиме. Время, необходимое для заполнения сифонной системы, зависит от множества независимых факторов, и общего метода прогнозирования не существует. Поэтому рекомендуется либо провести типовые испытания аналогичных систем, либо оценить время заполнения системы в расчетных условиях в соответствии с формулой ниже. Это время не должно превышать 60 секунд, если не предусмотрены меры по накоплению воды на кровле согласно BS 8490:2007 (Guide to siphonic roof drainage systems, п. 8.8). Для облегчения процесса заполнения во время сильных ливней трубопроводы должны быть способны пропускать поток в магистрали горизонтальных участков и передавать его в стояки со скоростью, достаточной для быстрого создания отрицательного давления в системе.
Оценить время заполнения сифонно-вакуумной системы QSS+ DRAIN можно, используя уравнение:

Расчет времени выхода на производительность учитывает:
Tf – время заполнения, (в секундах);
Vp– суммарный внутренний объем всех трубопроводов системы до точки перехода в самотечный режим, л;
Qin– начальный расход поступающей в сифонно-вакуумную систему воды, л/с.
Точный расчет этого параметра позволяет исключить перелив воды через парапеты кровли в моменты пиковых нагрузок и гарантирует стабильность гидравлических характеристик при переходе из фазы неполного заполнения в вакуумный режим.
Переход на самотечный режим (точка сброса)
Критически важным этапом является корректный переход от сифонно-вакуумного режима полного наполнения к самотечному (режиму частичного наполнения) в нижней точке системы.
В точке выпуска системы QSS+ DRAIN кинетическая энергия потока должна быть погашена, а давление – выровнено до атмосферного. Расчет перехода выполняется с соблюдением следующих условий.
Увеличение диаметра. В точке перехода в гравитационную сеть диаметр трубопровода увеличивается (обычно в два раза) для снижения скорости потока до нормативных значений (до 4 м/с согласно СП 32.13330 п. 5.4.2 или до 3 м/с согласно стандарту BS 8490:2007 Guide to siphonic roof drainage systems, п. 8.10).
Гашение энергии. Расчет по такой методике гарантирует, что возникающая турбулентность в колодце или сборном коллекторе не приведет к нарушению сифонно-вакуумного режима в стояке.
Вентиляция. В точке перехода (приемном колодце) обеспечивается доступ воздуха, что позволяет нарушить сифонный режим и перевести поток в безнапорный режим без риска возникновения гидравлических ударов в наружных сетях.
Конструктивная адаптация и соответствие стандартам РФ
Важнейшим этапом легитимизации сифонно-вакуумных систем в России стало внедрение Изменения № 3 к СП 30.13330.2020, которое официально закрепило понятие вакуумного режима и требования к воронкам, специфике их работы и расчетным параметрам. Финальным шагом становится вступление в силу в первом квартале 2026 года ГОСТ Р 72567-2026 «Система водосточной сифонно-вакуумной канализации. Общие технические требования». Система QSS+ DRAIN полностью адаптирована под эти стандарты, а также требования ГОСТ Р 70628.1-2023, ГОСТ Р 70628.2-2023, ГОСТ Р 70628.3-2023 и ТУ 22.23.19-007.05266240-2022. Это устраняет любые разночтения при проектировании и прохождении экспертизы, подтверждая полную нормативную чистоту при применении системы СВК QSS+ DRAIN.
Система QSS+ DRAIN является результатом глубокого инжиниринга, направленного на полную адаптацию сифонно-вакуумной технологии к специфике российского строительного рынка. Ниже перечислим ключевые аспекты конструктивного соответствия.
Модернизированные кровельные воронки. Запатентованная конструкция воронки QSS+ DRAIN спроектирована таким образом, чтобы гарантированно обеспечивать отсечение воздуха и формирование устойчивого сифонно-вакуумного режима в соответствии с новыми требованиями к узлам приема воды. Выбрана конструкция воронки с диаметром патрубка 75 мм, предназначенного для присоединения к трубопроводу из полиэтилена HPDE. Особое внимание уделено корпусу дождеприемной воронки, отсекателю воздуха и элементам разъемных соединений для механической фиксации, выполненным из нержавеющей стали – коррозионностойкого металла согласно п. 21.17 Изменений № 3 к СП 30.13330.2020 и п. 5.5. ГОСТ Р 72567-2026. Такая конструкция гарантирует долговечность, надежность и высокую стойкость системы к внешним воздействиям при эксплуатации в российских климатических условиях с частыми переходами через 0 °C.


Адаптация к отечественным нормам эксплуатации. При разработке системы учитывались не только гидравлические параметры, но и требования по механической прочности и стойкости компонентов. Все элементы системы адаптированы под отечественные строительные материалы и типы кровельных пирогов.
Сертификация по ГОСТ Р 72567-2026 «Система водосточной сифонно-вакуумной канализации. Общие технические требования». Геометрия фитингов, пропускная способность стабилизаторов потока и прочностные характеристики трубопроводов полностью соответствуют тем нормам, которые с апреля 2026 года стали обязательными для всей отрасли.
Разработка системы велась в тесном контакте с проектными институтами, что позволило создать продукт, который полностью закрывает существовавшие ранее нормативные пробелы.
Ключевые технологические преимущества системы QSS+ DRAIN
Переход на сифонно-вакуумную технологию QSS+ DRAIN открывает принципиально новые возможности для оптимизации строительства и эксплуатации зданий.
Оптимизация количества водоприемных узлов. Пропускная способность воронок QSS+ DRAIN может достигать 32 л/с. Благодаря исключительной пропускной способности воронок QSS+ DRAIN для эффективного водоотвода требуется значительно меньше точек приема воды на кровле по сравнению с самотечными аналогами. Это напрямую снижает затраты на материалы и сокращает трудозатраты при монтаже.
Минимизация диаметров трубопроводов. Работа системы в режиме полного заполнения сечения (H/d = 1,0) позволяет использовать трубы существенно меньшего диаметра. Это не только облегчает конструкцию, но и снижает общую материалоемкость проекта.
Эффект самоочищения и надежность. Высокая кинетическая энергия потока (со скоростями до 12 м/с на отдельных участках) предотвращает образование отложений и засоров. Система QSS+ DRAIN фактически обслуживает себя сама, что минимизирует эксплуатационные расходы и исключает необходимость в частых ревизиях.
Экономия на подземных коммуникациях. За счет сокращения количества выпусков из здания пропорционально уменьшается объем земляных работ и протяженность наружных сетей ливневой канализации.
Монтаж без уклона. Горизонтальные коллекторы прокладываются строго параллельно перекрытиям. Отсутствие проектного уклона позволяет максимально сохранить полезную высоту помещений и упрощает интеграцию водостока в насыщенное инженерное пространство под потолком.
Сферы применения системы QSS+ DRAIN
Благодаря высокой эффективности и возможности монтажа горизонтальных магистралей без уклона сифонно-вакуумная система QSS+ DRAIN является оптимальным решением для объектов с большой площадью кровли и сложной архитектурой. Система QSS+ DRAIN успешно применяется в следующих сегментах:
- складская недвижимость. Крупные логистические парки, распределительные центры и терминалы класса А. Высокая скорость потока в системе позволяет минимизировать количество стояков, освобождая полезную площадь для стеллажного хранения;
- промышленная недвижимость. Заводы, сборочные цеха и производственные площадки. Надежность QSS+ DRAIN гарантирует бесперебойный отвод стоков даже при экстремальных ливнях, защищая дорогостоящее оборудование;
- спортивные объекты. Стадионы, ледовые арены, физкультурно-оздоровительные комплексы. Архитектура таких зданий часто подразумевает длинные пролеты, где использование традиционного самотечного водостока технически невозможно;
- коммерческая недвижимость. Торгово-развлекательные центры, гипермаркеты и многофункциональные комплексы. Система обеспечивает эстетичный внешний вид и экономию пространства под потолком для смежных инженерных коммуникаций;
- объекты социальной инфраструктуры. Аэропорты, вокзалы, выставочные центры и учебные заведения. В этих проектах система ценится за долговечность и соответствие самым строгим требованиям безопасности и государственным стандартам.
Экспертная поддержка и гарантия качества ООО «Группа Компаний «Агпайп»
Внедрение высокотехнологичной сифонно-вакуумной системы требует не только качественных комплектующих, но и безупречного инженерного сопровождения. ООО «Группа Компаний «Агпайп» – производитель и официальный правообладатель торговой марки (товарного знака) QSS+ DRAIN – обеспечивает практически полный цикл реализации проекта, от разработки конструкторской документации до поставки сертифицированных элементов системы.
Сертификация и стандарты качества
Производство компонентов системы QSS+ DRAIN и деятельность компании опираются на строгую систему менеджмента качества, что зафиксировано сертификатом ИСО 9001-2015 (ГОСТ Р ИСО 9001-2015).
Качество и соответствие системы российскому законодательству подтверждены полным пакетом разрешительной документации.
1. Сертификаты соответствия системы и элементов (трубы, фитинги, воронки и аварийные переливы, система креплений) нормативным документам:
ГОСТ Р 70628.1-2023, ГОСТ Р 70628.2-2023, ГОСТ Р 70628.3-2023, ТУ 22.23.19-007.05266240-2022.
2. Программное обеспечение «Проектирование систем ливневого водостока с кровли т. м. QSS+ DRAIN» сертифицировано согласно ГОСТ 8.654-2015, ГОСТ Р 54593-2011 и ТУ 22.23.19-007.05266240-2022.
3. Соответствие кровельных воронок нормативным документам: воронки QSS+ DRAIN имеют отдельный сертификат, подтверждающий выполнение требований п. 21.17 СП 30.13330.2020 (изм. № 3) и п. 5.5 ГОСТ Р 72567-2026 «Система водосточной сифонно-вакуумной канализации. Общие технические требования». Протоколы испытаний подтверждают заявленные расходы воды до 32 л/с и стабильность работы при пиковых нагрузках.
Инженерный центр и департамент проектирования
Собственный инженерный центр ООО «Группа Компаний «Агпайп» – это команда экспертов, специализирующаяся на сложных гидравлических расчетах. Мы не просто поставляем оборудование, а создаем расчетную модель водостока, которая гарантирует выход системы на сифонно-вакуумный режим именно тогда, когда это необходимо.
Для разработки эффективного проекта ливневой канализации, соответствующего всем актуальным нормативам, заказчику необходимо предоставить следующие исходные данные:
- расчетная интенсивность дождя (q20, q5) или точное территориальное расположение объекта;
- планы кровли и этажей для корректной трассировки трубопроводной сети;
- архитектурные разрезы здания с отметками основных конструкций;
- данные по наружным сетям или местам выпусков для интеграции системы в общую инфраструктуру;
- трассировка смежных инженерных сетей (при наличии) для предотвращения конфликтов коммуникаций.
Выбирая QSS+ DRAIN, вы получаете не просто инновационный продукт, а комплексное решение для гарантированной безопасности объекта и уверенность в том, что система прошла путь от грамотного проектирования до высокотехнологичного производства в строгом соответствии с актуальными нормативными требованиями. Это означает, что будущая эксплуатация объекта будет предсказуемой и безопасной, т. к. все технические решения базируются на фундаментальных инженерных принципах.
Для получения профессиональной консультации, выполнения гидравлического расчета и заказа системы QSS+ DRAIN вы можете отправить запрос на сайте ООО «Группа Компаний «Агпайп». Наши специалисты помогут адаптировать проект под актуальные нормы и обеспечат полное техническое сопровождение на всех этапах проектирования и строительства.
www.agpipe.ru
Статья опубликована в журнале “Сантехника” за №2'2026
pdf версия Статьи по теме
- Кровельные воронки для плоских кровель
Сантехника №4'2020 - Современные подходы к созданию устойчивой зеленой инфраструктуры
Сантехника №3'2022 - Ливневая канализация террас
Сантехника №3'2024 - Кровельные воронки для плоских кровель
Сантехника №3'2026 - Особенности устройства открытой ливневой канализации
Сантехника №4'2015
Подписка на журналы













