Рациональные подходы при определении коэффициентов надежности для ультрафиолетовой дезинфекции
В УФ-системах для определения инактивации облучаемых патогенных организмов используется оперативное измерение расхода, интенсивности УФ-излучения и, в некоторых случаях, коэффициента пропускания водой УФ-излучения. Считается, что установленные УФ-системы обеспечивают параметры регулирующих предписаний, если система оперативного мониторинга выявляет, что инактивация патогенных организмов выше определенного уровня.
Рациональные подходы приопределении коэффициентовнадежности для ультрафиолетовой дезинфекции
Введение
В УФ-системах для определения инактивации облучаемых патогенных организмов используется оперативное измерение расхода, интенсивности УФ-излучения и, в некоторых случаях, коэффициента пропускания водой УФ-излучения. Считается, что установленные УФ-системы обеспечивают параметры регулирующих предписаний, если система оперативного мониторинга выявляет, что инактивация патогенных организмов выше определенного уровня. В промышленных ультрафиолетовых системах для соотнесения оперативных измерений с инактивацией патогенных организмов применяются два подхода.
Согласно первому подходу, доза облучения реакторами обеспечивает необходимую степень инактивации патогенных организмов при заданном расходе воды, если измеренная интенсивность УФ-излучения равна или больше аварийного заданного уровня интенсивности, установленного и/или доказанного в ходе УФ-испытаний системы. Согласно второму подходу, доза облучения реактором обеспечивает необходимую степень инактивации патогенных организмов, если доза ультрафиолетового излучения, рассчитанная на основе измеренного расхода, коэффициента пропускания УФ-света и интенсивности излучения, выше некоторого аварийного заданного уровня интенсивности, установленного и/или доказанного в ходе УФ-испытаний реактора.
Процесс мониторинга и проверки производительности УФ-реактора характеризуется некоторой погрешностью. Например, существуют погрешности, связанные с измерением расхода воды, интенсивностью УФ-излучения и коэффициентом пропускания УФ-света как при обычной работе УФ-системы на установке обработки воды, так и при проверке УФ-системы. Погрешность существует также при измерениях степени инактивации ультрафиолетовым реактором и при определении эквивалентной дозы снижения концентрации микроорганизмов - Reduction Equivalent Dose (RED) по измеренным результатам реакции на облучение испытываемых микробов.
Существующие в настоящее время руководства и стандарты дезинфекции при помощи УФ-излучения используют различные подходы для решения проблемы погрешности, связанной с мониторингом и оценкой. Например, немецкие предписания DVGW W294 требуют, чтобы заданный аварийный уровень интенсивности УФ-излучения, используемый в WTP, был равен заданному аварийному уровню, определенному в ходе проверок, увеличенному на величину погрешности, характерной для оперативного датчика интенсивности УФ-излучения. Австрийский стандарт ONORM использует такой же подход применения интенсивности аварийных уровней УФ-излучения, расхода и коэффициента пропускания, устанавливаемых на WTP. С другой стороны, руководство NWRI/AWWARF UV определяет, что в качестве RED, устанавливаемой в результате проверок, принимается меньшее значение на 90-процентном доверительном интервале измеренных RED. Все эти примеры представляют подходы для учета погрешности при мониторинге и проверке.
Организации по разработке стандартов, такие как Национальный институт стандартов и технологий (NIST) разработали подход для определения погрешности, связанной с измерениями (Taylor и Kuyatt, 1994). Такой подход включает в себя следующие шаги:1. Определение уравнения для обработки измеренных величин.
2. Выявление всех источников случайных и систематических ошибок, влияющих на уравнение для результатов измерений. Определение этих ошибок как расширенной погрешности на некотором уровне доверительности.
3. Определение расширенной погрешности измеренной величины на некотором статистическом доверительном интервале в виде статистической суммы отдельных источников погрешности.
В этой работе указанный выше подход применен к мониторингу дозы облучения на основе подхода аварийного заданного уровня интенсивности, с целью определения коэффициента надежности, применимого к УФ-дезинфекции.
Уравнение обработки результатов измерений для мониторинга производительности УФ-системы
В области УФ-дезинфекции большой интерес при мониторинге производительности вызывают показатели инактивации патогенных организмов. Например, в США на предприятиях водоснабжения УФ-дезинфекция применяется для обеспечения необходимой степени инактивации микроорганизмов Cryptosporidium и Giardia. Для расчета степени инактивации патогенных организмов в УФ-реакторе было определено несколько подходов. Многие из этих подходов основаны на предположениях о параметрах гидравлических систем, проходящих через УФ-реактор. Например, модели идеальной дозировки облучения предполагают применение гидравлики с пробковым режимом и полным боковым смешиванием, например:

где N и N0 представляют собой значения концентрации
патогенных микроорганизмов на выходе из реактора и на входе в него, log(N/N0)
– логарифм инактивации, f – функция, определяющая кинетику инактивации
патогенных организмов, Iavg – средняя интенсивность (интегральная
плотность потока) в УФ-реакторе,t – теоретическая длительность обработки
воды в реакторе.
В других подходах для определения необходимой дозировкии производительности реактора используется модели RTD (Quallsand Johnson, 1983) или дисперсионные модели (Scheible, 1985).
Недавно были предложены методы определения путей перемещения микробов в УФ-реакторе, основанные на моделях вычислительной гидродинамики (CFD) (Wright and Lawryshyn, 2000).
Необходимая дозировка для каждого из таких микробов вычислялась интегрированием интенсивности ультрафиолетового облучения по времени, проведенному микробом в реакторе. Моделируя пути, пройденные большим количеством микробов, начальное положение которых распределено по случайному закону по поперечному сечению достаточно далеко вверх по потоку от реактора, можно найти распределение дозировки для УФ-реактора. Используя кинетику инактивации для данного микроба, степень чистой инактивации для УФ-реактора можно определить, суммируя показатели инактивации для каждой дозировки для заданного распределения дозировок, взвешенные по вероятности возникновения такой дозировки.
Уравнение для результатов измерений, использующее метод CFD для соотнесения логарифма инактивации с результатами измерений расхода воды, интенсивности облучения и коэффициента пропускания УФ-излучения, является нелинейным и довольно сложным. Действительно, вероятнее всего, единственным методом, пригодным для соотнесения погрешности величины контролируемой дозировки с логарифмом инактивации интересующих патогенных микроорганизмов, является метод Монте-Карло, если только не прибегать к упрощающим предположениям, позволяющим получить линейное и менее сложное уравнение для результатов измерений. Далее представлен вывод, в котором используются такие упрощающие предположения.
Рассмотрим УФ-реактор, работающий на установке обработки воды. Используя кинетику первого порядка, получаем выражение для связи логарифма инактивации интересующего патогенного организма, log(N/N0)p с показателемRED для этого организма, REDр, следующим образом:
(1)
где D10p – дозировка ультрафиолетового облучения, необходимая
для инактивции патогенного организма, эквивалентная единице логарифмической
инактивации. Если УФ-реактор характеризуется некоторым распределением дозировок,
показательREDдля микроорганизма отличается от REDиспытываемого
микроба, если эти организмы имеют различную кинетику инактивации (Cabaj и др.,
1996; Wright и Lawryshyn, 2000). Если распределение дозировки УФ-реактора известно,
может быть вычислен показатель BRED, являющийся отношением RED патогенного
организма к RED испытываемого микроба. Используя это отношение, уравнение
можно записать следующим образом:
(2)
где REDc – это RED испытываемого микроба.
При мониторинге дозировки, обеспечиваемой УФ-системой, использующем подход аварийного заданного уровня интенсивности, предполагается, что дозировка пропорциональна измеренной интенсивности ультрафиолетового излучения I. Следовательно, уравнение 2 записывается следующим образом:
(3)
где k – постоянная, выражающая зависимость степени инактивации
испытываемого микроба от измеренной интенсивности. Величина k определяется
во время проверки системы, в результате чего уравнение 3 записывается как:
(4)
где REDcv – это показатель RED испытываемого микроба,
измеренный во время испытаний при интенсивности УФ-излучения Iv.
Предполагая, что дозировка обратно пропорциональна расходу, уравнение 4 может быть записано таким образом:
(5)
где Q – расход воды на WTP, а Qv – расход во время
испытаний.
Логарифм инактивации испытываемого микроба может быть найден по показателю RED испытываемого микроба, измеряемому во время испытаний, при помощи измеренных данных реакции этого микроба на дозировку. Беря за основу кинетику первого порядка для испытываемого микроба, находим:
(6)
где D10cv выражает дозировку на единицу логарифмаинактивации
испытываемых микробов, измеренную во время испытаний, Nin и Nef –
величины концентрации испытываемых микробов на входе и на выходе реактора,
измеренные во время испытаний. Чувствительность испытываемых микробов к ультрафиолетовому
облучению получаем по наклону кривой реакции на дозировку. В результате уравнение6
может быть записано следующим образом:
(7)
где DCB – дозировка, обеспечиваемая установкой с коллимированным
пучком, а log(N/N0) – логарифм инактивации, если замеры
концентрации испытываемого микроба производились при этой дозировке. Дозировка,
обеспечиваемая коллимированным пучком, может быть выражена следующим образом
(Bolton и Linden, 2003):
(8)
где Irad – интенсивность, измеренная радиометром, fP –
коэффициент Петри, R – коэффициент отражения на границе воздуха и воды, L –
расстояние от лампы до поверхности взвеси, облучаемой установкой коллимированного
пучка, d – глубина взвеси, а – наперов коэффициент поглощения
УФ-излучения с длиной 254 нм. Подставляя уравнение 8 в уравнение 7, получаем:
(9)
Для полихромной УФ-системы, если ее спектральные свойства и параметры воды во время испытаний отличаются от аналогичных данных для WTP, обеспечиваемая дозировка наWTP будет отличаться от дозировки во время испытаний при тех же значениях расхода, длины волны ультрафиолетового света254 нм и измеренной УФ-интенсивности. Например, данныес пектрального поглощения УФ-излучения для кофе и сульфоната лигнина, используемых во время испытаний, не соответствуют аналогичным данным для воды WTP. В качестве другого примера можно отметить, что ультрафиолетовое излучение ламп в воду смещается по спектру вследствие старения ламп и защитных трубок, а также из-за внутреннего и внешнего загрязнения трубок. Определяя Bs как отношение RED, обеспечиваемого на WTP, к RED во время испытаний, для данного микроба при заданных значениях расхода, коэффициента пропускания УФ-излучения и измеренной интенсивности уравнение 9 можно записать для УФ-систем среднего давления:
(10)
Уравнение 10 представляет собой упрощенное уравнение обработки результатов измерений для определения логарифма инактивации патогенных организмов, полученных при оперативных измерениях расхода и интенсивности УФ-излучениядля испытываемой УФ-системы, при использовании мониторинга аварийного заданного уровня интенсивности.
Выявление источников погрешности
Погрешность связана с любым членом уравнения для результатов измерений. Погрешность может быть представлена в виде совокупности систематических и случайных ошибок. Источниками систематических ошибок при мониторинге дозировки являются: Ошибки значений RED. Если испытываемые микробы более устойчивы к ультрафиолетовому облучению, чем интересующие патогенные организмы, показатель RED, измеренный во время испытаний, будет больше, чем RED, который мог бы быть получен для патогенных микроорганизмов (Cabaj и др.,2000; Wright и Lawryshyn, 2000). И наоборот, если испытываемые микробы менее устойчивы к ультрафиолетовому свету, показатель RED, измеренный во время испытаний, будет меньше. Обычно во время испытаний систематическая ошибка не учитывается. В уравнении для результатов измерений эта систематическая ошибка выражается членом BRED.
| Таблица 1. Ошибка RED промышленного УФ-реактора, испытываемого с использованием фагов MS2. Интересующими патогенными микроорганизмами являются ротавирусы и микроорганизмы Cryptosporidium. |
||||||||||||||||||||||||||||||||||||||||||
|
В табл. 1 представлены оценки ошибок RED для промышленных УФ-реакторов, полученные на основании моделирования дозировок на основании методов CFD. Ошибки REDбольше при более низких значениях UVT (коэффициента пропускания ультрафиолетового света) и при большей разнице чувствительности к УФ-облучению испытываемых микробов и интересующих патогенных микроорганизмов. Действительно, производители систем УФ предпочитают испытывать свои УФ-реакторы на более устойчивых испытываемых микробах таких как фаг MS2, нежели на спорах B. subtilis, т. к. показатели RED, полученные на более устойчивых микробах, указывают на более высокую производительность оборудования.
Для учета ошибки RED используются следующие подходы:
1. Использование испытываемых микробов, чья чувствительность к ультрафиолету равна чувствительности интересующих патогенных организмов. В этом случае ошибка RED равна единице.
2. Использование двух микробов, у одного из которых показатель чувствительности к УФ-облучению меньше, чем у интересующих патогенных организмов, а у другого – больше.
Для оценки RED или степени инактивации интересующих патогенных организмов используется, соответственно, линейная интерполяция RED как функция чувствительности к ультрафиолету, определяемая как дозировка на логарифм инактивации, или линейная интерполяция логарифма инактивациикак функция коэффициентов инактивации первого порядка.
Определяемая таким образом интерполяция является консервативной, при учете того, что эти зависимости не линейны.
3. Измерение или вычисление распределения дозировки при помощи проверенного моделирования, основанного на методах CFD. Использование распределения дозировки для вычисления ошибки RED.
4. Использование распределения дозировки для репрезентативного УФ-реактора с наихудшими параметрами для оценки консервативного значения ошибки RED.
5. Если испытываемые микробы более чувствительны к ультрафиолету, чем интересующие патогенные микроорганизмы, значения логарифмической инактивации для испытываемых микробов присваиваются аналогичным значения для патогенных организмов. И наоборот, если испытываемые микробы менее чувствительны, патогенным организмам присваиваются измеренные значения RED.
Ошибка поглощения ультрафиолетового света. Если показатели спектрального поглощения УФ-света добавками, применяемыми при испытаниях, не соответствуют показателям спектрального поглощения на WTP, значение RED, полученное для УФ-системы на WTP, будет больше или меньше, чем показатель RED, измеренный во время испытаний при заданных значениях расхода воды, интенсивности УФ-излучения и коэффициента поглощения на длине волны ультрафиолетового света 254 нм (Wright и др., 2002). Величина систематической ошибки зависит от спектральной реакциии положения датчиков. В уравнении для результатов измерений эта систематическая ошибка представлена членом Bs.
![]() |
Рисунок 1. Ошибка показателя поглощения ультрафиолетового света для УФ-реактора, оснащенного датчиком для бактерицидного излучения, при использовании в испытаниях кофе. Показатели RED и датчика использовались для определения ошибки показателей поглощения, определяемых на базе моделирования обеспечиваемой дозировки методами CFD и моделей интенсивности УФ-света. |
![]() |
Рисунок 2. Ошибка показателя поглощения ультрафиолетового света для УФ-реактора, оснащенного датчиком для небактерицидного излучения, при использовании в испытаниях кофе. Показатели RED и датчика использовались для определения ошибки показателей поглощения, определяемых на базе моделирования обеспечиваемой дозировки методами CFD и моделей интенсивности УФ-света. |
На рис. 1 и 2 показаны оценки значений ошибки поглощения ультрафиолетового излучения, полученные на основании результатов моделирования с помощью методовCFD для УФ-системы, контролируемой датчиком бактерицидного и небактерицидного УФ-излучения соответственно.
Датчик небактерицидного излучения реагирует на длины волн вплоть до 380 нм. При испытаниях реактора, установленного на обычной WTP, использовался кофе. На рис. 3 дается сравнение спектра поглощения в водедля двух указанных условий.
![]() |
Рисунок 3. Данные спектрального поглощения ультрафиолетового излучения в кофе и в воде WTP, используемые для построения графиков рис. 1 и 2. Спектры нормализованы к одному значению на 254 нм |
Ошибка поглощения ультрафиолета растет с увеличением слоя воды между датчиком и лампой. Ошибка поглощения больше для датчика небактерицидного излучения. Ошибка поглощения меньше для сульфоната лигнина (здесь не показана). Ошибка поглощения УФ-излучения зависит также от эффективности реактора по обеспечению дозировки. Эта ошибка наибольшая при идеальном обеспечении дозировки.
Для учета ошибки поглощения используются следующие подходы:
1. Испытания с использованием химических веществ, поглощающие спектральные свойства которых аналогичны параметрам спектрального поглощения воды на WTP. В этом случае ошибка показателя поглощения УФ-излучения равна единице.
2. Применение датчиков для бактерицидного излучения, расположенных там, где обеспечиваемая дозировка пропорциональна отсчетам датчика, независимо от UVT, мощности лампы или от того, расположен ли датчик ближе к лампе. Данное положение определяется как оптимальное для мониторинга аварийного заданного уровня интенсивности. В этом случае ошибка показателя поглощения УФ-света равна единице или близка к этому значению.
3. Использование моделей интенсивности УФ-излучениядля уточнения показаний датчика, снятых во время испытаний ,и применение моделей дозирования для уточнения значений дозирования, с учетом этого источника ошибок.
4. Применение консервативных оценок ошибок показателей поглощения УФ-излучения, полученных для репрезентативного УФ-реактора с наихудшими параметрами.
Ошибка спектрального смещения. Старение ламп, старение и загрязнение защитных трубок сказываются в большей степени при меньших длинах волн, чем при более длинных.
Если датчик интенсивности УФ-излучения расположен сравнительно далеко от ламп, или если датчик реагирует на небактерицидный УФ-свет, показатель RED, обеспечиваемый УФ-системой, будет меньше при более старых и загрязненных лампах и гильзах, по сравнению с новыми лампами, при заданных значениях расхода воды, интенсивности УФ-излучения, показателя пропускания ультрафиолетового света на волне254 нм. Обычно УФ-системы испытываются с новыми лампами и с чистыми гильзами. В уравнении для результатов измерений ошибка спектрального смещения также представляется членом Bs.
![]() |
Рисунок 4. Ошибка спектрального смещения, обусловленная старением защитных трубок лампы в УФ-реакторе, оборудованном датчиком для бактерицидного излучения. Значения RED и показания датчика, используемые для определения ошибки поглощения УФ-излучения, определялись на основе моделирования дозировки при помощи методов CFD и моделей интенсивности УФ-излучения. |
![]() |
Рисунок 5. Ошибка спектрального смещения, обусловленная старением защитных трубок лампы в УФ-реакторе, оборудованном датчиком для небактерицидного излучения. Значения RED и показания датчика, используемые для определения ошибки поглощения УФ-излучения, определялись на основе моделирования дозировки при помощи методов CFD и моделей интенсивности УФ-излучения. |
На рис. 4 и 5 представлены оценки ошибки спектрального смещения, полученные при помощи моделирования, основанного на методах CFD, для УФ-систем, контролируемых датчиками для бактерицидного и небактерицидного УФ-излучения соответственно. Моделировалось спектральное смещение UVT защитных трубок лампы, о котором сообщалось в работе Kawar и др. (1998), показанное на рис. 6, в сравнении с UVT кварцевой защитной трубки нового типа 214.
![]() |
Рисунок 6. Показатель пропускания УФ-излучения старых защитных трубок ламп (из работы Kawar и др., 1998). |
Ошибка радиометра. Если показания радиометра, используемого для измерения реакции испытываемых микробов на определенную дозировку во время испытаний, завышены, значения RED, оцениваемые во время испытаний, будут также завышенными. И наоборот, если показания радиометра занижены, значения RED будут также заниженными.
Ошибка датчика. Если показания расходомера, датчиков интенсивности УФ-излученияили устройств измерения пропускания УФ-света завышены или занижены, значения RED,оцениваемые во время испытаний, будут такжезавышенными или заниженными.
Случайные ошибки для членов уравнения для результатов измерений выражаются в виде доверительных интервалов, рассчитываемых на основании данных, полученных в результате измерений во время испытаний или предоставленных поставщиком оборудования. Например, погрешность, связанная с измеренной инактивацией при помощи УФ-реактора, вычисляется на базе данных инактивации испытываемых микробов, а погрешность, связанная с ошибкой расходомера, определяется на основании данных поставщика. Погрешность имеет смысл,т олько если задан доверительный интервал. Хотя международные стандарты задают погрешность как удвоенное среднее отклонение или 95 % доверительного интервала, иногда погрешность задается как одинарное или утроенное среднее отклонение. Если в уравнении для результатов измерений фигурируют простые операции сложения и умножения, общая случайная погрешность вычисляется как квадратный корень суммы абсолютных или процентных случайных значений отдельных видов погрешности соответственно.
Случайная ошибка возникает при мониторинге дозировки и испытаниях реактора.
1. Концентрация испытываемых микробов, измеренная на входе и на выходе реактора во время испытаний, варьируется случайным образом в повторяющихся пробах. Погрешность логарифма инактивации испытываемых микробов Uin может быть определена как
(11)
где nI и nE – количество проб на входе и выходе, взятых
при данных условиях испытаний, sI и sЕ –
значения среднего отклонения концентрации испытываемых микробов в этих пробах,
и tI и tE – стьюдентовы t-отклонения.
В этом подходе предполагается, что логарифмические значения концентрации проб
на входе и выходе имеют нормальное распределение.
2. Доверительный интервал регрессионного подбора для испытываемых микробов отражает случайную ошибку, связанную с измерением реакции на дозировку. Эта ошибка может быть значительной, если кривая реакции на дозировку используется для оценки значений RED в нижнем диапазоне данных, применяемых для определения реакции на дозировку.
3. Показания датчика, используемого на установке обработки воды, имеют погрешность, случайным образом изменяющуюся во времени, т. к. датчики проходят повторную калибровку и заменяются.
4. Погрешность, связанная с измерением выходной мощности ламп, если количество датчиков меньше количества ламп.
5. Погрешность интерполяции, используемой для оценки рабочих заданных значений, зависящих от дозировки.
Общая погрешность UT может быть определена как
(12)
где Uin, UDR, UDuty и UFlowmeter являются
процентной погрешностью логарифма инактивации, измеренной на реакторе, доверительным
интервалом соотношения дозировки и реакции, предсказываемым уравнением регрессии,
погрешностью рабочего датчика на WTP и погрешностью расходомера, используемого
на WTP, соответственно. В это уравнение будут по мере необходимости добавляться
другие члены, если они будут представлять компоненты случайной погрешности.
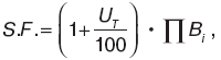
Определение коэффициентов надежности
Коэффициент надежности (S.F.) определяется как
(13)
где PBi является произведением
всех источников систематических ошибок, не учитываемых при мониторинге производительности,
а eT является общей случайной погрешностью. Например, если BRED и BS являются
источниками систематических ошибок, член PBi может
быть выражен как
(14)
Коэффициент надежности может использоваться для соотнесения значений RED испытываемых
микробов, полученных на основании данных, измеренных во время испытаний, с
дозировкой, необходимой для инактивации интересующих патогенных организмов.
Например, коэффициент надежности может использоваться для выражения «дозировки»,необходимой
для обеспечения утроенного логарифма инактивации микроорганизмов Cryptosporidium,в
значениях REDдля организмов MS2, необходимых для демонстрации такой
дозировки:
(15)
Пример. Фаг MS2 используется в испытаниях УФ-реактора для инактивации микроорганизмов Cryptosporidium при пропускании водой ультрафиолетового света на 85 %. УФ-реактор испытывается с использованием кофе. В нем имеется датчик для бактерицидного излучения, установленный на расстоянии 15 см от лампы. Предполагая, что для этого реактора справедливы условия, отображенные в табл. 1, на рис. 1 и 4, устанавливаем, что ошибка RED равна 2,14, ошибка поглощения – 1,07 и ошибка спектрального смещения – 1,04. В сертификате калибровки радиометра, используемого для измерения реакции в зависимости от дозы, указывается погрешность измерений, равная 8 %. УФ-датчик и расходомер, используемые во время испытаний, имеют погрешности10 и 5 % соответственно. Хотя погрешность этих трех компонентов может рассматриваться как случайная, и общая погрешность определяется как (82 + 102 + 52)0,5 = 14 %, эти компоненты рассматриваются как отдельные систематические ошибки.
Среднее значение и среднее отклонение значений концентрации испытываемых микробов на входе и выходе реактора, замеренные по трем пробам, равны 5,1 ± 0,07 log и 3,2 ± 0,12 log. Для трех проб t – статистика на уровне 90 % равна 2,91. Показатель логарифмической инактивации, на основании уравнения 11, равен 1,9 с погрешностью 12 %. Используя регрессионный подбор для соотношения дозировки и реакции для организмов MS2, измеренного на аппаратуре с коллимированным пучком, было определено значение RED, равное 34 мДж/см2. Интервал доверительности, связанный с регрессионным подбором на уровне 90 %, равен 5 %. Если УФ-система установлена на WTP, расходомер имеет погрешность 2 % и датчики УФ-излучения – погрешность 10 %. Рабочие датчики проверяются на опорном датчике, с погрешностью 5 %. Таким образом, критерием отклонения является погрешность, равная (102 + 52)0.5 = 11 %. Итого, общая ошибка равна PBi 2,14 x 1,07 x 1,04 x 1,08 x 1,1 x 1,05 = 3,0.
Общая погрешность оценивается как (122 + 52 +22 + 112)0,5 = 17 %.
Если бы данные испытаний не были скорректированы с учетом систематических ошибок, коэффициент надежности был бы равен 3,5. Таким образом, данные испытаний могут использоваться для указания на необходимость дозировки для организмов Cryptosporidium, равной 34 мДж/см2/3,5 = 9,7 мДж/см2.
Коэффициент надежности в этом примере довольно значителен и указывает на возможность больших значений ошибок при использовании данных испытаний, необходимых для определения дозировки облучения патогенных организмов, если эти данные не будут скорректированы. При планировании испытаний для уменьшения таких ошибок должен быть проведен надлежащий выбор испытываемых микробов, поглотителей ультрафиолетового излучения, измерительных приборов и методов.
Статья опубликована в журнале “Сантехника” за №3'2005
Подписка на журналы



















